목차
본문으로 바로가기
글로벌메뉴로 바로가기
로컬메뉴로 바로가기
연락처 및 저작권으로 바로가기
회원가입
로그인
₩
1,430
$
11월
환율정보
국제로타리
RI회장 메시지
RI회장 약력
RI회장표창안내
로타리코리아
지구소개
지구조직도
지구현황
지역대표
지구임원
재)로타리부산제주지구재단
지구총재
지구총재
차기총재
차차기총재
역대총재
총재운영방침
지구표창기준
총재월신
클럽현황
클럽별검색
클럽임원
회원검색
클럽활동갤러리
커뮤니티
공지사항
행사일정
자료실
지구활동갤러리
회원업체소개
사단법인3661지구
사업목적
조직도
정관
기부금모금액/활용실적
커뮤니티
공지사항
행사일정
자료실
지구활동갤러리
회원업체소개
HOME
>
커뮤니티
>
공지사항
공지사항
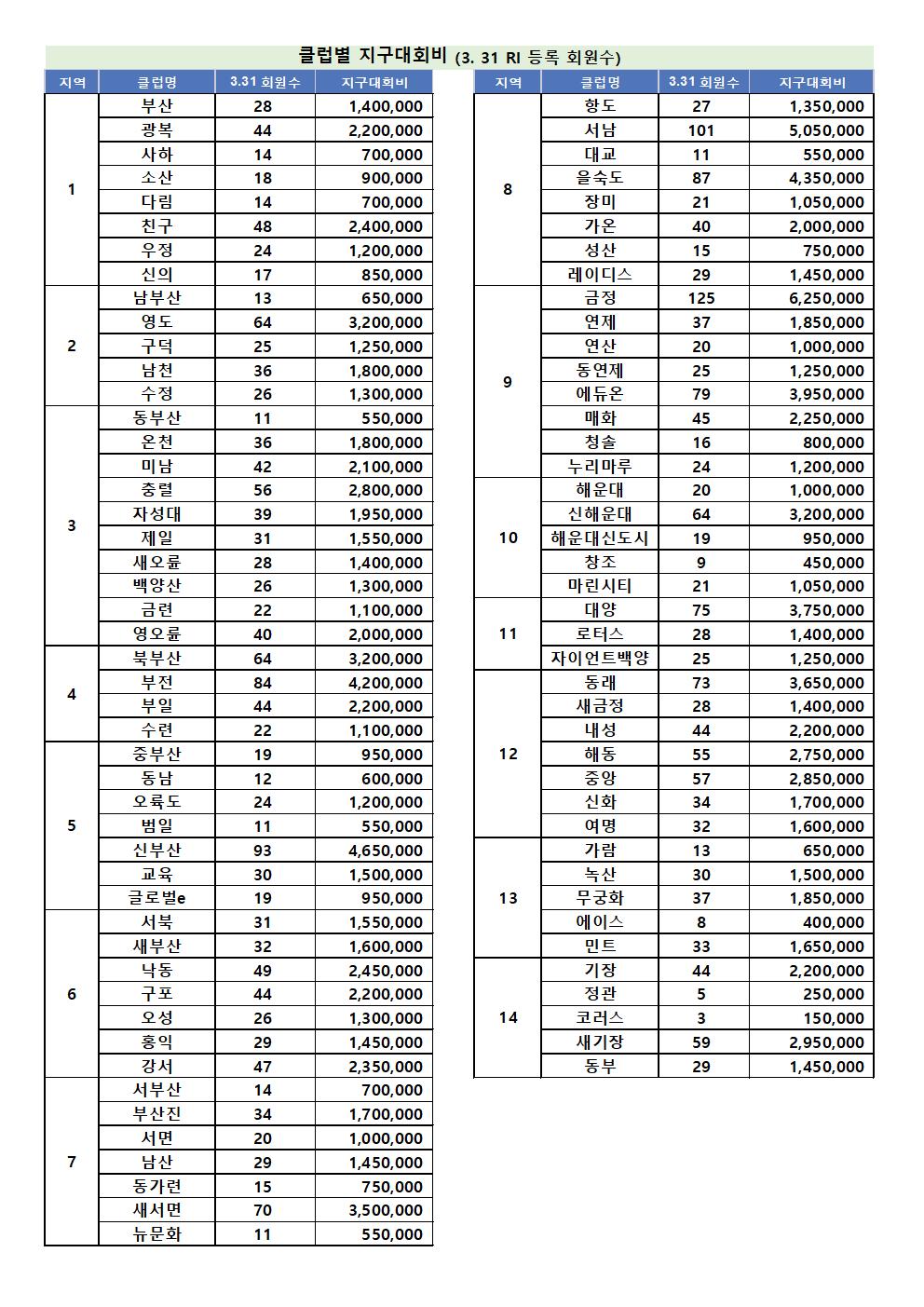
2019-20 지구대회비 안내의 건
2020-04-02
첨부파일
[클럽] -지구대회 납부 안내의 건.hwp : 0.8KB
지구대회비 납부 안내의 건001.jpg : 0.2KB
3월말회원수-3.31기준.xlsx : 0.0KB
3.31 RI등록 회원수001.jpg : 0.3KB